Ir al contenido principal
Iniciar mi coaching

Descubre el papel fundamental del ATP en la energía muscular del triatleta. Explicaciones claras, datos clave y consejos para optimizar tu rendimiento.

Por Carlos — traducido de un artículo de Clara Atem Publicado el 24/10/2025 a las 08h04 — modificado el 23/10/2025 a las 08h04   Tiempo de lectura : 4 minutes
Descubre el papel fundamental del ATP en la energía muscular del triatleta. Explicaciones claras, datos clave y consejos para optimizar tu rendimiento.

Introducción

El metabolismo energético es esencial en el ámbito de los deportes de resistencia, y el triatlón no es una excepción. En este complejo sistema, el trifosfato de adenosina, comúnmente conocido como ATP, juega un papel crucial en la generación de energía muscular. Comprender cómo funciona el ATP y cómo optimizar su uso puede tener un impacto significativo en el rendimiento de cualquier triatleta. En esta guía, exploraremos la función del ATP, su impacto en el rendimiento y estrategias prácticas para mejorar tu manejo energético durante el entrenamiento y las competiciones.

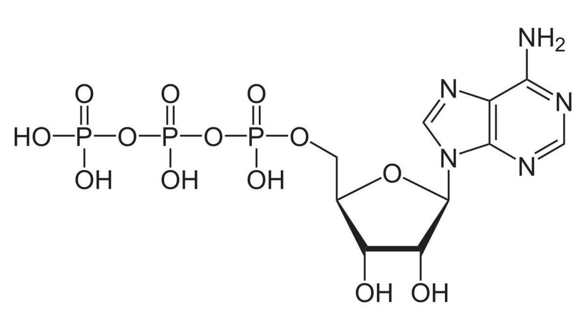
¿Qué es el ATP?

El ATP es la principal fuente de energía para las células del cuerpo, especialmente durante el ejercicio. Es un nucleótido compuesto por adenina, ribosa y tres grupos fosfatos. La energía almacenada en los enlaces entre los grupos fosfatos se libera cuando se rompe el ATP para convertirse en ADP (difosfato de adenosina). Esta energía es lo que permite la contracción muscular, el transporte de moléculas y otras numerosas funciones celulares.

La producción de ATP durante el ejercicio

Existen tres vías principales para la producción de ATP durante el ejercicio:

  • Fosfágenos: En ejercicios de alta intensidad y corta duración, como los sprints, el ATP se genera rápidamente a partir de la fosfocreatina. Esta vía proporciona energía durante cortos períodos, generalmente menos de 10 segundos.
  • Glucólisis anaeróbica: Esta vía descompone la glucosa sin necesidad de oxígeno, generando ATP rápidamente para esfuerzos de alta intensidad que duran entre 10 segundos y 2 minutos. Sin embargo, este proceso genera ácido láctico, lo que puede causar fatiga.
  • Metabolismo aeróbico: En ejercicios de baja a moderada intensidad, como las disciplinas en triatlón, el cuerpo utiliza el oxígeno para generar ATP a partir de carbohidratos y grasas. Esta vía es más eficiente y puede sostener el esfuerzo durante períodos prolongados.

El papel del ATP en el triatlón

Durante un triatlón, el cuerpo del atleta cambia continuamente entre estas vías de producción de energía. Esto se debe a la variedad de intensidades que se experimentan a lo largo de las diferentes disciplinas: natación, ciclismo y carrera a pie.

La natación, por ejemplo, tiende a requerir un mayor uso de la producción anaeróbica debido a la necesidad de explosividad para salir del agua. En cambio, en el ciclismo y la carrera a pie, predominan los esfuerzos aeróbicos, especialmente en distancias más largas.

Optimización del uso de ATP durante el triatlón

Para maximizar el rendimiento en triatlón, es fundamental optimizar cómo utiliza el cuerpo el ATP. Aquí te dejamos algunas estrategias:

Nutrición y Suplementación

La nutrición juega un papel fundamental en la disponibilidad de ATP.

  • Carbohidratos: Son la fuente primaria de energía para la producción de ATP. Se recomienda una adecuada ingesta de carbohidratos antes y después del entrenamiento y las competiciones.
  • Suplementos de creatina: Este suplemento puede aumentar los niveles de fosfocreatina en los músculos, mejorando así la capacidad del ATP para regenerarse en esfuerzos breves pero intensos.

Entrenamiento de resistencia y periodización

La periodización es un enfoque clave en el desarrollo del atleta de resistencia. Al adaptar los entrenamientos, se pueden optimizar las vías de energía del cuerpo.

  • Entrenamientos a intervalos: Estos pueden ayudar a mejorar tanto la capacidad anaeróbica como la aeróbica, optimizando el uso del ATP durante esfuerzos prolongados.
  • Entrenamientos de larga duración: Focalizarse en sesiones de larga duración a un ritmo moderado ayudará a mejorar la eficiencia aeróbica y la utilización de grasas, preservando el ATP.

Importancia de la recuperación

La recuperación es esencial para la regeneración de ATP. Durante el ejercicio, el cuerpo utiliza ATP más de lo que puede regenerar. Por eso, poner en práctica estrategias de recuperación adecuadas es clave para un rendimiento óptimo.

  • Descanso adecuado: El sueño y el descanso son fundamentales para la regeneración de ATP y la recuperación muscular, y deben ser considerados como parte integral del entrenamiento.
  • Hidratación: Mantener una buena hidratación ayuda a los procesos metabólicos que generan ATP.

Injury Prevention

Evitar lesiones es fundamental para mantener una producción eficiente de ATP. Una lesión puede interrumpir tu entrenamiento y afectar tu capacidad de generar energía. Aquí tienes algunos consejos para prevenir lesiones:

  • Técnica adecuada: Asegúrate de ejecutar tus movimientos con la técnica correcta durante el entrenamiento y las competiciones.
  • Calentamiento y enfriamiento: Realiza rutinas de calentamiento y enfriamiento adecuadas para preparar tus músculos y ayudar en su recuperación.

Aspecto mental del triatlón

La fortaleza mental es crucial para cualquier triatleta. La motivación puede influir en cómo utilizas tu energía y, por ende, en cómo administras y regeneras ATP. Algunas técnicas de preparación mental incluyen:

  • Estrategias de visualización: Visualiza tu carrera y el proceso de optimización de tu energía; esto puede ayudarte a implementarlo durante la competición.
  • Técnicas de respiración: Controlar tu respiración durante momentos de alta intensidad puede ayudar a conservar energía y optimizar la producción de ATP.

Conclusión

El ATP es un elemento vital para el rendimiento de los triatletas. Entender su función y cómo optimizar su producción y uso te permitirá mejorar tu rendimiento en cada disciplina del triatlón. Implementando estrategias de nutrición, entrenamiento, recuperación y aspectos mentales, estarás en el camino correcto hacia una mejor eficiencia energética y un rendimiento elevado. Si deseas profundizar más en cómo optimizar tu rendimiento en triatlón, consulta nuestra guía: Optimiza tu rendimiento en triatlón: consejos de expertos para natación, ciclismo y carrera a pie en todas las distancias.

🧠 FAQ - El papel del ATP en el triatlón

❓ ¿Qué es el ATP y por qué es importante para los triatletas?

El ATP, o trifosfato de adenosina, es la principal fuente de energía para las células en el cuerpo, y es fundamental para las contracciones musculares y otras funciones durante el ejercicio en triatlón.

❓ ¿Cómo se produce ATP durante el ejercicio?

El ATP se produce a través de tres vías principales: fosfágenos, glucólisis anaeróbica y metabolismo aeróbico. Cada vía tiene su papel dependiendo de la duración e intensidad del ejercicio.

❓ ¿Cuál es la mejor forma de aumentar mis niveles de ATP?

Aumentar los niveles de ATP se puede lograr a través de una adecuada nutrición (especialmente carbohidratos y creatina), un entrenamiento efectivo y un buen descanso y recuperación.

❓ ¿Por qué es importantísima la recuperación para la producción de ATP?

La recuperación permite al cuerpo regenerar ATP que se ha utilizado durante el ejercicio. Sin las adecuadas medidas de recuperación, la capacidad de producción de ATP se reduce, afectando el rendimiento.

❓ ¿Qué papel juega la nutrición en la producción de ATP?

La nutrición adecuada, especialmente la ingesta de carbohidratos, es crucial para suministrar la energía necesaria para la producción de ATP y maximizar el rendimiento en triatlon.

❓ ¿Cómo afecta el aspecto mental a la producción de ATP durante la competición?

La fortaleza mental y la motivación pueden influir en cómo utilizas tu energía y administras tu ATP. Técnicas como la visualización y la respiración pueden ayudar a optimizar tu rendimiento.