Aller au contenu principal
Démarrer mon coaching

Tout savoir sur l’ATP : la molécule clé de l’énergie en triathlon

Par Clara Publié le 06/06/2025 à 15h21   Temps de lecture : 3 minutes
Tout savoir sur l’ATP : la molécule clé de l’énergie en triathlon

L’ATP, ou adénosine triphosphate, est la molécule énergétique centrale du corps humain. Pour tout triathlète, comprendre son rôle est essentiel car c’est elle qui alimente chaque contraction musculaire, chaque battement de cœur, et chaque mouvement de natation, vélo ou course à pied.

⚙️ Qu’est-ce que l’ATP ?

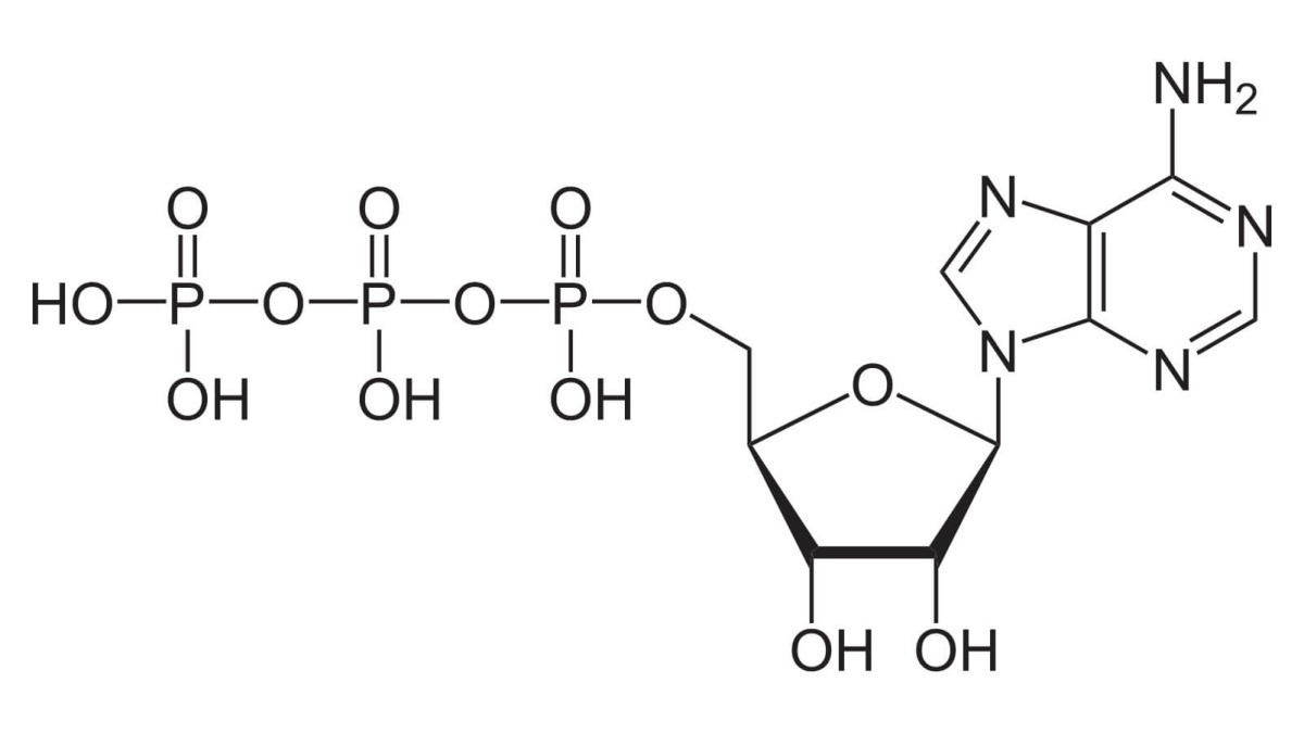
L’ATP est une molécule formée d’adénosine et de trois groupes phosphate. Elle stocke de l’énergie dans ses liaisons chimiques. Lorsque l’ATP est hydrolysée (cassée), elle libère une grande quantité d’énergie utilisable immédiatement par les cellules.

Repère chiffré : Chaque molécule d’ATP libère environ 7,3 kcal/mol d’énergie utilisable (Alberts et al., Molecular Biology of the Cell, 2002).

Cette énergie est vitale car c’est la seule forme directement exploitable par les fibres musculaires pour se contracter.

🏃‍♂️ ATP et production d’énergie pendant l’effort

Dans un triathlon, les muscles ont besoin d’un apport constant d’ATP. Mais la quantité d’ATP stockée dans les muscles est limitée et suffit seulement pour 1 à 2 secondes d’effort maximal. Il faut donc que l’organisme régénère l’ATP en permanence via 3 systèmes principaux :

  1. Le système phosphagène (ATP-CP)
    Utilise la créatine phosphate pour régénérer rapidement l’ATP. Ce système est dominant lors d’efforts très courts et explosifs (0-10 secondes).
    ⚡ Recharge ultra rapide, mais autonomie limitée.

  2. Le système glycolytique anaérobie
    Produit de l’ATP en dégradant le glucose sans oxygène, générant de l’acide lactique. Ce système prend le relais lors d’efforts intenses de 10 secondes à 2 minutes.
    🔥 Rapide mais produit des déchets qui fatiguent les muscles.

  3. Le système aérobie
    Produit l’ATP grâce à la combustion de glucides et de lipides avec oxygène, principalement lors d’efforts modérés à longs (au-delà de 2 minutes).
    🌿 Efficace et durable, indispensable pour les épreuves longues comme le triathlon.

🔄 La resynthèse de l’ATP : un processus permanent

La resynthèse d’ATP est continue pendant l’exercice. En moyenne, un triathlète consomme environ 0,4 à 0,8 mol d’ATP par minute en course à pied à intensité modérée (Brooks et Mercier, 1994).

💡 Astuce : La capacité à produire rapidement de l’ATP conditionne votre endurance et votre explosivité.

🧬 Facteurs influençant la production d’ATP

Plusieurs facteurs affectent la production d’ATP et donc vos performances :

  • L’entraînement : Améliore l’efficacité mitochondriale et la capacité aérobie, favorisant une meilleure production d’ATP.

  • L’alimentation : Apport en glucides et lipides pour nourrir les voies aérobie et anaérobie.

  • La récupération : Permet de refaire le stock de créatine phosphate et d’optimiser la synthèse d’ATP.

  • L’âge et la génétique : Affectent la masse mitochondriale et la capacité enzymatique.

📚 Références scientifiques utiles

  • Alberts B. et al. Molecular Biology of the Cell, 4th Edition, 2002.

  • Brooks GA, Mercier J. Balance of carbohydrate and lipid utilization during exercise: the "crossover" concept. J Appl Physiol. 1994.

  • Powers SK, Howley ET. Exercise Physiology: Theory and Application to Fitness and Performance, 2017.

L’ATP est la clé de voûte de l’énergie musculaire en triathlon. Sa production rapide et efficace via différents systèmes énergétiques permet d’adapter l’effort selon la durée et l’intensité. Pour améliorer vos performances, optimisez votre entraînement, votre nutrition et votre récupération afin d’augmenter votre capacité à resynthétiser l’ATP.

🧠 FAQ – Tout savoir sur l’ATP

❓ Qu’est-ce que l’ATP et pourquoi est-elle essentielle pour un triathlète ?

L’ATP est la principale source d’énergie chimique utilisée par les muscles pour se contracter. Sans ATP, il n’y a pas d’énergie disponible pour l’effort, ce qui rend son rôle fondamental dans toute activité sportive, notamment en triathlon.

❓ Combien de temps dure la réserve d’ATP dans les muscles ?

La réserve d’ATP musculaire est très limitée, suffisante seulement pour environ 1 à 2 secondes d’effort maximal. C’est pourquoi l’organisme doit constamment régénérer l’ATP pendant l’exercice.

❓ Quels sont les trois systèmes énergétiques qui produisent l’ATP ?

Les trois systèmes sont : le système phosphagène (ATP-CP), le système glycolytique anaérobie, et le système aérobie. Chacun intervient selon la durée et l’intensité de l’effort.

❓ Comment améliorer la production d’ATP pour mieux performer ?

Une combinaison d’entraînement adapté, une alimentation équilibrée riche en glucides et lipides, ainsi qu’une bonne récupération permet d’augmenter la capacité de production d’ATP et donc d’améliorer les performances.

❓ L’âge influence-t-il la production d’ATP ?

Oui, avec l’âge, la masse mitochondriale et l’efficacité enzymatique peuvent diminuer, réduisant la capacité à produire rapidement de l’ATP. Un entraînement régulier peut toutefois limiter ces effets.